next up previous contents index
Next: Installation Up: eirt - Assistant de Previous: Contents   Contents   Index

Introduction

Le programme eirt est un module pour Excel pour effectuer des estimations de la Théorie de la réponse aux items (TRI). En particulier, le programme se restreint au cas où la variable latente (l'habileté) est unidimensionelle et de distribution normale, et le nombre de réponses possible aux items (les options) est fini. Ce type d'items inclus le cas dichotomique (binaire), le cas à choix multiple et le cas d'une échelle graduée (ordonnée).

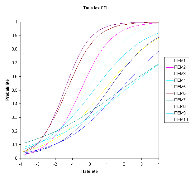
Figure 1.1: Exemple de courbes caractéristiques.
Image icc-fr

La liste des modèles supportés inclut les modèles logistiques à un, deux et trois paramètres pour les données de type binaire, le modèle de réponse nominale pour les données de type choix multiple, et le modèle de réponse ordonnée pour les données de type ordonné.

L'estimation des paramètres d'items est effectuée par l'estimateur par maximum de vraisemblance marginale ou par l'estimateur par mode Baysien. De plus, deux méthodes d'estimation non-paramétrique sont supportées, soit l'estimateur à noyau et l'estimateur par maximum de vraisemblance marginale pénalisée. Les habiletés sont estimées par éspérance à posteriori.

Le programme eirt utilise les routines de calcul de la librairie libirt (http://libirt.sf.net) aussi disponible dans rirt sous la forme d'un module pour R (http://www.r-project.org).


next up previous contents index
Next: Installation Up: eirt - Assistant de Previous: Contents   Contents   Index
2011-09-23